Learning feedback control strategies for quantum metrology
Apr 14, 2022·,,,·
0 min read
Alessio Fallani
Matteo A. C. Rossi
Dario Tamascelli
Marco G. Genoni

Abstract
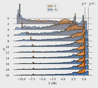
We consider the problem of frequency estimation for a single bosonic field evolving under a squeezing Hamiltonian and continuously monitored via homodyne detection. In particular, we exploit reinforcement learning techniques to devise feedback control strategies achieving increased estimation precision. We show that the feedback control determined by the neural network greatly surpasses in the long time limit the performances of both the “no-control” and the “standard open-loop control” strategies, that we considered as benchmarks. We indeed observe how the devised strategy is able to optimize the nontrivial estimation problem by preparing a large fraction of trajectories corresponding to more sensitive quantum conditional states.
Type
Publication
PRX Quantum 3, 020310